Biomassa lignoselulosa sebagian besar terdiri dari campuran polymer karbohidrat (selulosa dan hemiselulosa), lignin, ekstraktif, dan abu. Kadang-kadang disebutkan holoselulosa, istilah ini digunakan untuk menyebutkan total karbohidrat yang dikandung di dalam biomassa dan meliputi selulosa dan hemiselulosa.
Baca juga:
Menghitung potensi bioetanol dari TKKS
Sirup gula dari TKKS
Kalkulator ethanol digital
Selulosa
Selulosa adalah polymer glukosa (hanya glukosa) yang tidak bercabang. Bentuk polymer ini memungkinkan selulosa saling menumpuk/terikat menjadi bentuk serat yang sangat kuat. Panjang molekul selulosa ditentukan oleh jumlah unit glucan di dalam polymer, disebut dengan derajat polymerisasi. Derajat polymerase selulosa tergantung pada jenis tanaman dan umumnya dalam kisaran 2000 – 27000 unit glucan. Selulosa dapat dihidrolisis menjadi glukosa dengan menggunakan asam atau enzim. Selanjutnya glukosa yang dihasilkan dapat difermentasi menjadi etanol.

Source: http://www.scientificpsychic.com/fitness/carbohydrates.html

Source: http://www.lsbu.ac.uk/water/hycel.html
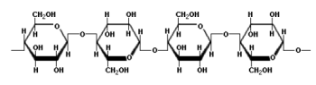
Hemiselulosa
Hemiselulosa mirip dengan selulosa yang merupakan polymer gula. Namun, berbeda dengan selulosa yang hanya tersusun dari glukosa, hemiselulosa tersusun dari bermacam-macam jenis gula. Monomer gula penyusun hemiselulosa terdiri dari monomer gula berkarbon 5 (C-5) dan 6 (C-6), misalnya: xylosa, mannose, glukosa, galaktosa, arabinosa, dan sejumlah kecil rhamnosa, asam glukoroat, asam metal glukoronat, dan asam galaturonat. Xylosa adalah salah satu gula C-5 dan merupakan gula terbanyak kedua di di biosfer setelah glukosa. Kandungan hemiselulosa di dalam biomassa lignoselulosa berkisar antara 11% hinga 37 % (berat kering biomassa). Hemiselulosa lebih mudah dihidrolisis daripada selulosa, tetapi gula C-5 lebih sulit difermentasi menjadi etanol daripada gula C-6.

Gambar hemiselulosa
Lignin
Lignin adalah molekul komplek yang tersusun dari unit phenylphropane yang terikat di dalam struktur tiga dimensi. Lignin adalah material yang paling kuat di dalam biomassa. Lignin sangat resisten terhadap degradasi, baik secara biologi, enzimatis, maupun kimia. Karena kandungan karbon yang relative tinggi dibandingkan dengan selulosa dan hemiselulosa, lignin memiliki kandungan energi yang tinggi.

Gambar lignin.
Glukosa
Glukosa (C6H12O6) adalah gula sederhana (monosakarida). Glukosa adalah salah satu produk utama fotosistesis dan merupakan komponen structural pada tanaman. Glukosa merupakan gula C-6 yang memiliki beberapa bentuk, tetapi umumnya digambarkan sebagai cincin karon seperti gambar di bawah ini.

Source: http://www.scientificpsychic.com/fitness/carbohydrates.html


Source: http://en.wikipedia.org/wiki/Glucose
Gambar glukosa
Etanol
Ethanol dapat diproduksi melalui fermentasi glukosa. Umumnya biokonversi glukosa menjadi etanol dilakukan dengan memanfaatkan yeast. Reaksi umumnya adalah sebagai berikut:
C6H12O6 -> 2CO2 +2C2H5OH + Panas

Source: (http://en.wikipedia.org/wiki/Alcohol )

Source: (http://en.wikipedia.org/wiki/Ethanol )
Gambar etanol
Pembakaran akan merombak etanol, oksidasi (penambahan oksigen dari udara) hydrogen menghasilkan uap air (H2O), karbon menjadi karbondioksida (CO2) dan melepaskan energi.
Kandungan Lignoselulosa dan Potensi Etanol yang dapat Dihasilkan
Komponen selulosa yang bisa dirombak menjadi etanol adalah hasil hidrolisis selulosa dan hemiselulosa. Data-data di bawah ini dikumpulkan dari beberapa sumber. Potensi produksi etanol dihitung dengan metode yang disampaikan oleh Badger (2002). Kalau ada yang punya data lebih baik dan lebih akurat silahkan dikoreksi.
| Biomassa | Klason Lignin (%) | Selulosa (%) | Hemiselulosa (%) | Ethanol (L ethanol/kg biomassa) | Referensi | |
| Rice straw | 21 | 38 | 25 | 0.19 | Taniguchi et al (2005) | |
| Oil palm empty fruit bunches | 10 | 50.4 | 21.9 | 0.23 | Umikalsom et al (1997) | |
| Hardwoods stems | 18 | 40 | 24 | 0.20 | Sun and Cheng (2002) | |
| Softwoods stems | 25 | 45 | 25 | 0.22 | Sun and Cheng (2002) | |
| Nut Shells | 30 | 25 | 25 | 0.15 | Sun and Cheng (2002) | |
| Corn cobs | 15 | 45 | 35 | 0.24 | Sun and Cheng (2002) | |
| Grasses | 10 | 25 | 35 | 0.18 | Sun and Cheng (2002) | |
| Paper | 0 | 85 | 0 | 0.28 | Sun and Cheng (2002) | |
| Wheat straw | 15 | 30 | 50 | 0.23 | Sun and Cheng (2002) | |
| Sorted refuse | 20 | 60 | 20 | 0.25 | Sun and Cheng (2002) | |
| Leaves | 0 | 15 | 80 | 0.26 | Sun and Cheng (2002) | |
| Cotton seed hairs | 0 | 80 | 5 | 0.28 | Sun and Cheng (2002) | |
| Newspaper | 18 | 40 | 25 | 0.20 | Sun and Cheng (2002) | |
| Waste papers from chemical pulps | 5 | 60 | 10 | 0.23 | Sun and Cheng (2002) | |
| Primary wastewater solids | 24 | 8 | 0 | 0.03 | Sun and Cheng (2002) | |
| Swine waste | 0 | 6 | 28 | 0.09 | Sun and Cheng (2002) | |
| Solid cattle manure | 2.7 | 1.6 | 1.4 | 0.01 | Sun and Cheng (2002) | |
| Coastal Bermuda Grass | 6.4 | 25 | 35.7 | 0.18 | Sun and Cheng (2002) | |
| Switch grass | 12 | 45 | 31.4 | 0.23 | Sun and Cheng (2002) | |
| Baggase | 24.05 | 42.64 | 25.4 | 0.21 | Bransby (2007) |
Download buku dan referensi lain: Klik Di Sini.
Referensi yang berkaitan:

Posted from WordPress for Android








Mas, itu referensi yang Taniguchi et al (2005) yang mana ya? Yang data di tabel % kandungan rice straw, pustaka lengkapnya kok saya tidak menemukan di halaman referensi… Di referensi yang Taniguchi adanya cuma tahun 1997, bukan 2005.. Thx
Maaf ada yang salah ketik, yang benar adalah taniguchi 2005. Akan saya koreksi lagi kemudian.
hemiselulosa dari leaves yg referensinya Sun, Y. & Cheng, J. (2002), ‘Hydrolysis of lignocellulosic materials for ethanol production: a review’, Bioresource Technology 83(1), 1–11. berasal dari daun apa ya?
cz saya menelususri jurnal itu saya belum dapat!
Tidak disebutkan daun apa, tetapi biasanya adalah MSW atau seresah/sampah daun.
tengkyu infonya
🙂
Nice info….
Tengkyu ya
pagi pak,,sya ksulitan mncari cara uji kadar selulosa,hemiselulosa,lignin dan kadar abu,,mhon bantuannya,,makase’ sbelumnya.
Metode standar untuk analisis itu bisa dilihat di TAPPI standard. Coba cari di google dengan kata kunci TAPPI Analysis lignocellulose hemicellulose.
salam kenal… mainta fungsi dari penyusun dinding sel antara lain mannan,galaktan, khitin, lignin,suberin,kutin,nd lilin. makasih ya
minta juga dong fungsi dari penyusun dinding sel
salam kenal pak saya mau mencari referensi saturated ethanol pada saat keadaan fasa uap ada nggak pak?
bagaimana cara atau rumus perhitungan untuk merancang kondensor pada sistem distilasi bioethanol? terima kasih sebelumnya.
Sebenarnya sudah sejak beberapa tahun yang lalu sudah dilakukan seleksi ini. Namun, fungi tersebut hanya digunakan untuk kalangan terbatas dan tidak diperjualbelikan. Mohon maaf.
Topik tersebut lebih cenderung ke teknik. Saya tidak memiliki banyak literatur untuk topik ini.
salam kenal pak, pada proses hdrolisis lignoselullosa sudah pernah ada belum pak yang murni memanfaatkan mikroorganisme, tanpa ada input panas dan tekanan..
makasih sebelumnya..
salam kenal mas,
Blog yang bagus. minta ijin mas untuk ngopi tulisannya. saya juga mau nanya mas, apakah mas punya referensi metoda analisis selulosa, hemiselulosa dan lignin yang terbaru? yang saya punya hanya metoda fraksinasi dari cheeson 1978. namapaknya sudah terlalu lama.
jika berkenan mohon bantuan atau informasinya.
terima kasih
Ada metode standard dari TAPPI, coba cari di google dengan kata kunci: TAPPI analysis cellulose lignin hemicellulose.
Terima kasih infonya mas, akan saya coba.
asw. pak, adakah referensi alang-alang seperti tabel diatas.
syukron
Maaf saya tidak punya.
apakah ada referensi untuk akar ubi kayu seperti table di atas
Mohon maaf tidak punya. Sebaiknya dianalisa sendiri. Datanya lebih akurat.
ass, salam kenal.
saya mau tanya, bagaimana cara untuk menghilangkan komponen abu dalam lignoselulosa ? apakah bisa langsung di hilangkan pada proses preTreatment atau di hilangkan di akhir proses ?
mohon bantuannya pak.
trim’s
Kenapa mau dihilangkan? Komponen abu adalah mineral yang agak sulit dihilangkan.
saya sedang membuat tugas akhir Pra Rancangan pabrik bioethanol dari TKKS, tetapi saya masih bingung apakah abu ini harus di buang atau tidak ?
abu itu mempengaruhi hasil daripada proses pembuatan bioethanol itu sendiri atau tidak ?
saya rasa tidak perlu dihilangkan di awal. Yang mempengaruhi hasil bukan abu-nya tetapi kandungan lignin jika hidrolisisnya menggunakan enzim.
salam kenal pak,,,
saya mau tanya mengenai properties dari selulosa, hemiselulosa, lignin, abu, dsb,,, seperti kapasitas panas, enthalpi… apa anda bisa memberitahu referensi mengenai data2 tsb,,, kami butuh data2 tsb, untuk mengitung neraca panas,,,
mohon bantuannya…
terimakasih pak,,
Mohon maaf, saya tidak memiliki data-data seperti itu.
ass.
pak saya mau tnya ;
ada beda tidak antara pati sama selulosa ?
rmus kimiany sama, apa beda struktunya ya?
pak ada satu lagi :
bgaimana prinsip/cara kerja hidrolisis selulosa/pati dengan asam sehingga membentuk glukosa. klo ada filenya tlong d kirim ke email saya.
sbelumya saya ucapkan terima kasih bnyak to pertolongnny
dan smoga allah mmbalas jasa bpak
Pati adalah polimer glukosa. Rasanya sudah pernah saya tulis, silahkan dicari-cari lagi.
Hidrolisis kan pemecahan pati dengan menambahkan molekul air. Daftar literatur juga sudah saya buatkan, tinggal dicari saja.
ass. pak, saya mau tnya :
1. adakah beda selulosa sama pati wlau rms kimiany sama ?
2. bgaimana prinsip/cara kerja hidolisis selulosa dng asam terutama asam sulfat, klo ad tlong dkirim aja filenya pak.
tlong banget pak
sblumnya sya ucapkan terima kasih bnyak
pak, ada satu lagi :
mau tnya bgaimana nentuin kadar glukosa dng cara mudah, klo fehling kan tuk nentuin ada tidaknya karbohidrat. krim via email aja klo ada pak 🙂 tlong pak bwat tgas
maaf pak klo ngerepotin… mkasih banyak
Banyak metode pententuan glukosa. Misalnya: metode DNS (Muller 1959), HPLC, GC, Somogy-Nielsen, atau pakai kit glukosa. Metode lengkapnya saya rasa ada diperpustakaan-perpustakaan.
pak….ada gak bahan tentang pemanfaatan kulit ubi kayu menjadi bioetanol??
Kebetulan ada temen mahasiswa S2 di lab kami yang sedang mengerjakan pembuatan bioetanol dari kulit singkong/ubi kayu. Kalau berminat nanti bisa saya kenalkan, lewat japri saja.
aslm…..
slm knal pak..
,sya mu nanya ,knapa ya hanya glukosa yg dpt d fermentasikan menjadi alkohol??
sblum’y trims y pak..
maf jg klw udh ngrepotin^_^
senenarnya bukan glukosa saja, tetapi gula C5 lain (xylosa, ribosa, dll) juga bisa jadi ethanol. Namun, kalau yeast (Saccharomyces cereviseae) hanya bisa merubah glukosa menjadi etanol. Yeast tidak bisa merubah gula C5 menjadi ethanol. Di dalam sistem metabolisme yeast tidak memiliki enzym untuk itu.
assalamualaikum wr wb
sama seperti mbak Novi di atas, saya juga ingin menguji kadar selulosa biomassa saya. apakah Lab Bapak di LIPI membuka jasa pengujian tersebut? mohon informasi sekaligus nomor telpon yang bisa dihubungi. terimakasih
wassalam
encik
pak dimana bisa mendapatkan enzim selulase???
terima kasih pak
Kalau yang import biasanya dijual oleh agen-agen bahan kimia, biasa merek novizim atau Mereck. Biasanya di kota-kota besar atau kota yang ada universitasnya banyak agen bahan kimia.
atau pak enzim yang cocok untuk hidrolisis Tandan kosong kelapa sawit
Assalaamualikum wr.wb
pak,ada ngak hasil penelitian ato jurnal yang menerangkan unsur-unsur kimia yang ada dalam abu tempurung kelapa?
kalo ada unsur na pa aja pak? dan berapa komposisi setiap unsur na pak?
mohon bantuan nya pak,
terima kasih
waalaikumsalam.wr.wb
Assalamu’alaikum.
Mungkin saja ada jurnalnya, tetapi saya tidak punya & tidak tahu brp komposisi unsur kimianya.
Coba cari di http://www.google.com/scholar/
oh gtu ya mas,,kalo dalam bentuk padat nya,jurnal yang pernah ku baca unsur yang paling banyak lignin,selulosa,hemiselulosa,unsur organik nya mas,tapi kalo semisal udah berubah jadi abu,apakah masih ada unsur organik nya mas?
atau udah menguap dengan suhu pembakaran seperti itu?
tergantung berapa suhu pembakarannya. kalau diabukan (ash analysis) yang tertinggal hanya mineral/logam saja. Sudah tidak ada bahan organiknya.
makasih ya mas,
Pingback: Digital Calculator for theoretical ethanol yield | Berbagi Tak Pernah Rugi
apakah bisa memodifikasi struktur molekul biomassa untuk optimasi pembakaran?
Saya tidak tahu. Mungkin saja bisa.